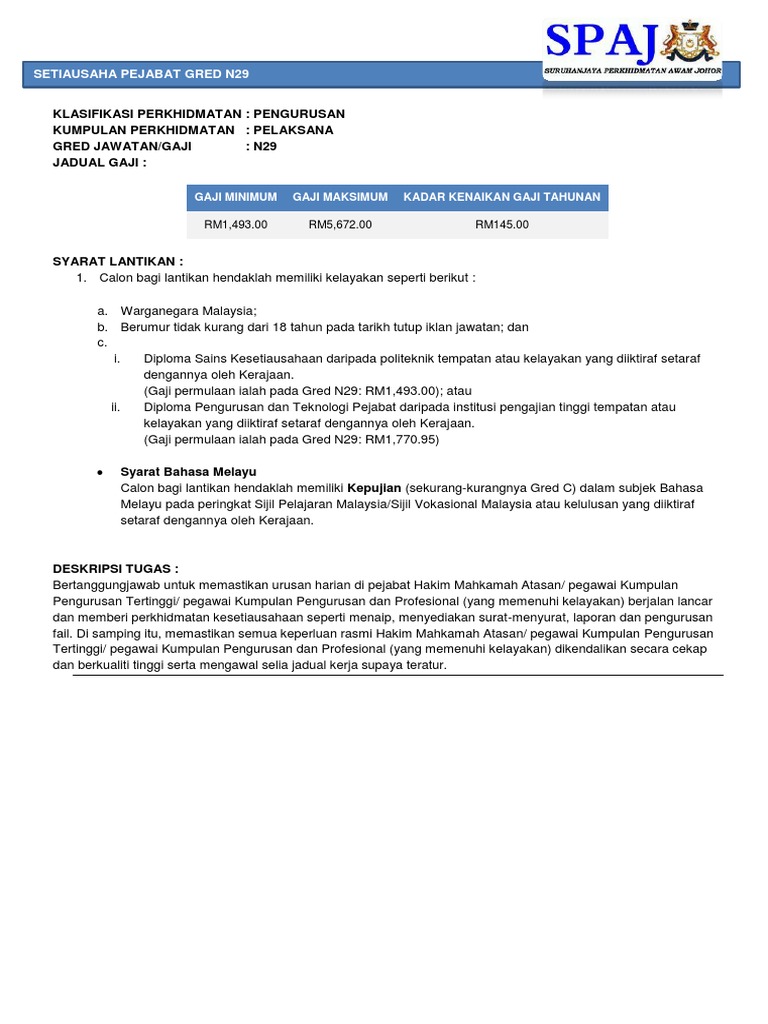
Setiausaha Pejabat Gred N29
07-2666414 07-2666418 07-2666420. Jururawat Masyarakat Gred U19.
24 Setiausaha Pejabat Gred N29 Pdf
Pembantu Setiausaha Pejabat Gred N19.
. PEMBANTU SETIAUSAHA PEJABAT N19. Helpdesk Pendaftaran Akaun eSPAJ. Kemahiran Asas Komputer Ujian ICT Skills Assessment and Certification - ISAC i.
Pegawai sedang berkhidmat dalam perkhidmatan Pembantu tadbir Perkeranian Operasi Pembantu Setiausaha Pejabat Pembantu tadbir kewangan Pemeriksa Cap jari dan pegawai Khidmat Pelanggan adalah layak dipertimbangkan oleh Pihak Berkuasa Melantik berkenaan untuk Peningkatan Secara Lantikan ke jawatan Penolong Pegawai Tadbir Gred N29. PENOLONG PEGAWAI TADBIR PENERBITAN N29. Penolong Penguasa Bomba Gred KB29.
Pengambilan NotaNota Rintas 50 psm. Juruteknik Perubatan Gred U19. Pembantu Operasi Gred N11.
Penolong Pegawai Sains Gred C29. 607 266 6422 607 266 6423. Jawatan yang ditawarkan adalah mengikut kapasiti dan keperluan Universiti MalayaUM.
Juruteknik Komputer Gred FT19. Iv Sebarang permasalahan. Calon-calon dikehendaki mengambil nota dengan kederasan 50 psm.
Setiausaha Pejabat Gred N29. Borang Pengurusan Kemajuan Kerjaya Pegawai Perkhidmatan Awam Negeri Sabah Gred N36 hingga N29 23 Jun 2021. Gred 41 dan ke atas 23 Jun 2021.
Daripada rencana Bahasa Malaysia yang diberikan dan menaip salinan. Pembantu Tadbir PerkeranianOperasi Gred N19. BAHAGIAN D SETIAUSAHA PEJABAT GRED N29 i.
Paparan terbaik menggunakan Google Chrome dengan resolusi melebihi 1920 x 1080. Sekiranya ingin membetulkan resolusi anda sila tekan ctrl plus. Telefon WhatsApp Business.
Penolong Pegawai Tadbir Gred N29. Perutusan Setiausaha Kerajaan Negeri Sempena Tahun Baru 2022. I Permohonan hendaklah dikemukakan dengan menggunakan borang secara online sahaja.
Sijil Matrikulasi Kementerian Pendidikan Malaysia. Ii Pemohon TIDAK PERLU MENGHANTAR salinan sijil sehingga dihubungi oleh pihak sekretariat. Borang Pengurusan Kemajuan Kerjaya Pegawai Perkhidmatan Awam Negeri Sabah Gred N26 dan ke bawah 23.
PENOLONG PEGAWAI TADBIR N29. Permohonan jawatan kosong boleh dikemukakan dengan. OPERATOR LOJI H11.
Juruteknik Komputer Gred FT19. Juruaudio Visual Gred N19. Iii Pemohon yang tidak menerima sebarang jawapan selepas TIGA 3 bulan dari tarikh iklan ditutup hendaklah menganggap permohonannya tidak berjaya.
Laskar Kelas II Maritim Gred T1.
Gaji Kelayakan Tugas Setiausaha Pejabat Gred N29 Spa

No comments for "Setiausaha Pejabat Gred N29"
Post a Comment